Deepak Somani

Incoming Ph.D. student EPFL

Thermal Conduction in One-Dimensional Chains



💡
Second-year project performed under the guidance of Dr. Puneet K. Patra.
[Picture]
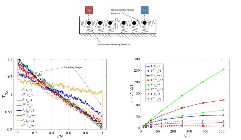
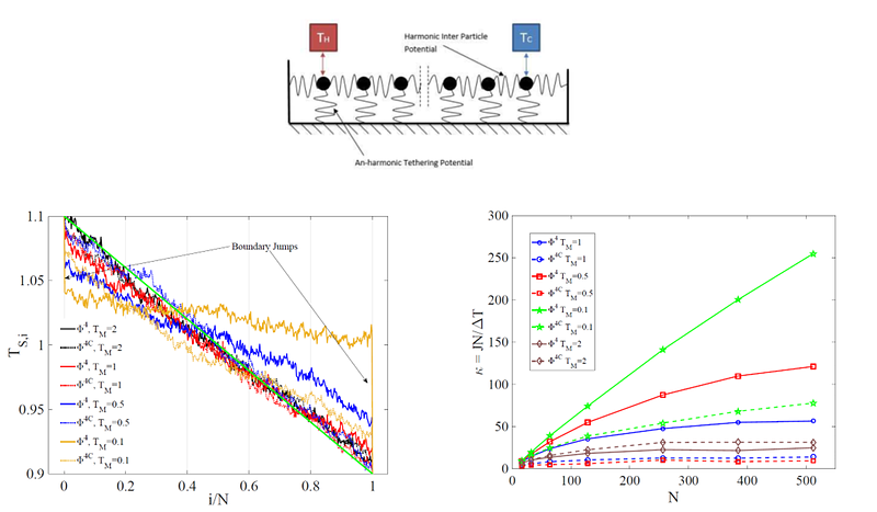
The model of one-dimension chain along with temperature distribution and the variation of thermal conductivity along with the length of chains are demonstrated
Analyzed the validity of Fourier's Law for heat conduction in small-dimensional systems.